Симбирский сад и Тихвинский сквер
В Финляндском округе два безымянных сквера обрели названия.
Губернатор Александр Беглов подписал Постановление Санкт-Петербурга №801 от 20.11.2019 г. о присвоении наименований 31 объекту зеленых насаждений. В этот список попали три объекта Калининского района, два из них находятся на территории Финляндского округа.
Теперь зеленая территория на пересечении ул.Комсомола и ул.Михайлова получила название Симбирский сад в честь одного из топонимов улицы Комсомола. Со второй половины XIX века по 1927 год ул. Комсомола носила название Симбирской улицы по названию города Симбирска, современного Ульяновска.
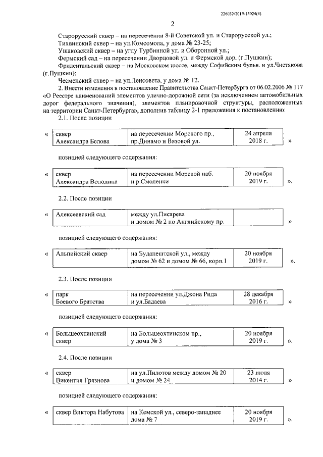
А скверу у домов № 23-25 по улице Комсомола присвоено название Тихвинский в честь ныне утраченной церкви, находившейся на пересечении улиц Михайлова и Комсомола. Она была построена в 1749 году взамен обветшавшей (полотняной) церкви, самой первой церкви на этом месте, возведенной еще в 1714 г. по повелению Петра I.
Теперь на территории нашего округа семь "зеленых" зон, которым присвоены официальные названия:
Свердловский сад,
Кондратьевский сад, 
Любашинский сад, 
Сквер Безбородко, 
Парк академика Сахарова,
Симбирский сад,
Тихвинский сквер. 


